banner

学院新闻∣陈胜利助理教授在中子辐照损伤模型方向发表重要成果

发布人:太阳集团tyc86

    近期,我院“百人计划”助理教授陈胜利博士在核科学与技术领域的顶级期刊《Journal of Nuclear Materials》上发表重要成果。他在研究中对唯象点缺陷模型(arc-dpa)进行参数评估,发现了用于中子辐照损伤评估的参数,该研究不仅获得了唯象点缺陷模型两个基本参数的范围,并且降低了点缺陷计算结果对离位阈能选取的依赖性。

    辐照损伤一直是核级材料与核科学大装置部分重要材料面临的重大挑战。反应堆材料辐照损伤主要是中子核反应(包括中子散射与嬗变反应)引起的。中子与材料中原子通过核反应发生能量传递,原子获得能量之后可引发材料中原子的级联碰撞,从而形成一部分点缺陷,点缺陷的进一步演化或与材料中已有缺陷相互作用将导致材料的性能改变。

    由于中子与原子反应属于核力相互作用,现有的基于分子间相互作用的方法在模拟中子辐照损伤方面具有较大的挑战性。

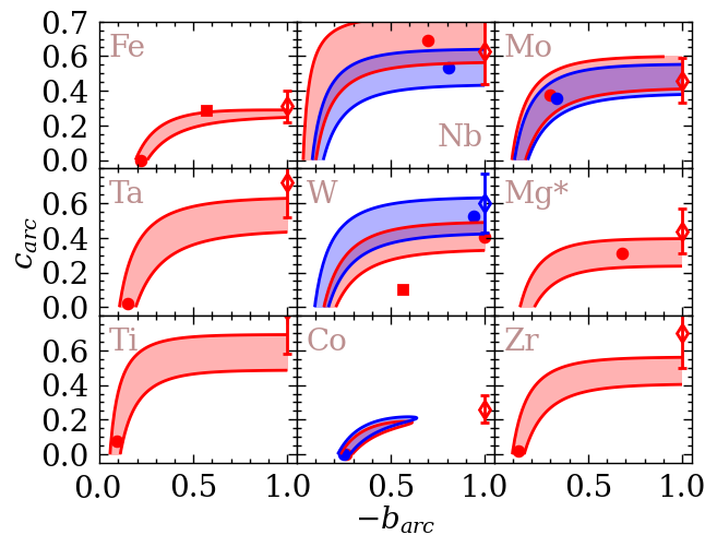
    本研究借助已有的中子辐照数据,通过材料点缺陷与电阻率变化之间的关系获取若干能谱下的中子辐照点缺陷数据。基于这些数据对近年基于分子动力学模拟提出的唯象点缺陷模型(arc-dpa)进行参数评估,获得两个基本参数的范围(如图1所示)。

图1:唯象模型arc-dpa中两个基本参数在1σ不确定度下的取值范围

    此外,研究发现对于反应堆中子,令barc = -1,carc取与之对应的渐进值可用于评估中子辐照损伤评估(如图2的计算与实验结果对比所示)。此时arc-dpa模型与现用的国际标准模型NRT-dpa仅差一个倍数。与之相对应地,本文定义了有效离位阈能用于NRT-dpa计算,研究发现该有效离位阈能的值不再依赖于原始NRT-dpa模型中离位阈能的取值,从而降低点缺陷计算结果对离位阈能选取的依赖性。

图2:最优解与两个极值组合对应的计算与实验结果比值C/E

    本项成果已发表在核科学与技术领域的顶级期刊《Journal of Nuclear Materials》上,我院“百人计划”助理教授陈胜利博士为唯一作者,太阳集团tyc86为唯一通讯单位。论文可通过以下链接在50天内免费获取:https://authors.elsevier.com/a/1fJc054hEL%7Ehl

 

图文:陈胜利

初审:周越

审核:刘李云

审核发布:徐瑶