学院新闻︱我院核数据科学及应用团队在核物理领域发表重要成果
近日,我院核数据科学及应用团队在核物理领域权威期刊《Physical Review C》发表重要成果“基于壳模型为反应堆重要产物Xe和Ba核素计算能级密度”。
核数据科学与应用是一门研究核结构与核反应数据、拓展其在核能与核技术领域的应用、链接核基础研究与核技术应用的综合性学科。
原子核能级密度是一种重要的核结构数据,指的是给定激发能量下每单位能量的能级个数,包含了原子在不同激发态下核结构的关键信息,是核反应理论模型的关键输入参数,对反应截面的评估至关重要。原子核的能级密度对于所有有关核应用的研究都十分关键,被核反应堆、加速器和宇宙中的核合成等领域迫切需求,所以可靠的能级密度数据是很有必要的。然而能级密度很难通过实验直接测量,只有个别的能量点或者非常低能量时可以实验给出这个数据。至今为止,大多数评估的能级密度的方法都是采用唯像公式计算,其缺点是每个核的公式参数都不一样,而且规律性也不明显。这样对于实验数据较少的核,也就是大多数原子核,能级密度的评估都有较大的不确定性。
我院核数据科学及应用团队基于核子-核子相互作用,在原子核壳模型的框架下微观地计算了Xe和Ba核素等反应堆重要产物的能级密度。
原子核壳模型考虑一个冻结的核芯以及占据特定轨道的价核子,基于核芯对价核子的平均相互作用以及价核子之间的剩余相互作用,构建出薛定谔方程的哈密顿量,原子核的能级个数等同于该哈密顿量矩阵的本征值个数。该工作从一个统一的有效核力出发构建哈密顿量,通过随机统计方法微观地计算了Xe和Ba同位素的能级密度并分析了核力中各分量的贡献。计算得到的133-137Xe和135-138Ba的能级密度结果与实验数据相符合。由于该微观方法不依赖某个核的能级密度,可以用来系统地评估计算原子核的反应截面数据,具有可观的应用前景。
该工作成果近日发表于核物理领域权威期刊《Physical Review C》,袁岑溪副教授、陈胜利助理教授为共同通讯作者,20级硕士生陈进北(学院本硕连读毕业生,将读博深造),21级博士生刘梦兰(学院本硕连读毕业生)为论文共同第一作者,其他合作者来自筑波大学、中国原子能科学研究院等单位。该工作得到广东省基础与应用基础研究基金和重大项目、国家自然科学基金、国家重点研发计划的资助以及中山大学、中国原子能科学研究院、中国核数据中心、以及国家超算广州中心的支持。
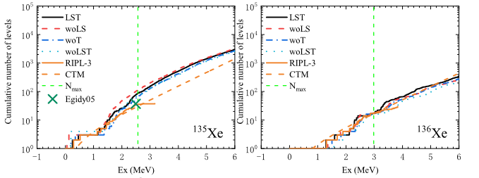
图1、部分能级密度与累积能级数结果
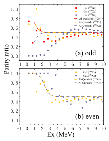
图2、宇称与角动量参数结果
以上2图可知,该工作结果与已有的实验结构、经验模型符合得很好。
附:论文原文信息:Jinbei Chen (陈进北), Menglan Liu (刘梦兰), Cenxi Yuan (袁岑溪), Shengli Chen (陈胜利), Noritaka Shimizu (清水則孝), Xiaodong Sun (孙小东), Ruirui Xu (续瑞瑞), and Yuan Tian (田源), Shell-model-based investigation on level density of Xe and Ba isotopes, Phys. Rev. C 107, 054306.
DOI: 10.1103/PhysRevC.107.054306
图文:刘梦兰
初审:袁岑溪、周越
审核:刘李云
审核发布:徐瑶














太阳集团tyc86
太阳集团tyc86